GCPSG-017 (2024): Special Discussion Area Construction Guide
On this page
- Foreword
- Reproduction
- Effective date
- Record of Amendments
- Introduction
- Contact information
- List of acronyms and abbreviations
- Glossary
- Detection Systems
- Alarm Systems
- Visual Monitoring
- Contraband Detection
- Chemical Detection Equipment
- Security Considerations
- System Selection and Zone Considerations
- Conclusion
- Reference and Source Documents
- Promulgation
Foreword
The GCPSG-017 - Special Discussion Area Construction Guide is an UNCLASSIFIED publication, issued under the authority of the Royal Canadian Mounted Police Lead Security Agency for Physical Security (RCMP LSA).
This is a Government of Canada publication to serve as a guide for addressing speech security construction and best practices for departments, agencies and employees of the Government of Canada.
Suggestions for amendments and other information can be sent to the RCMPLead Security Agency rcmp.lsa-grc.posm@rcmp-grc.gc.ca.
Preface and Acknowledgements
The purpose of the section is to highlight the linkage between this GCPSG and the "Speech Security Best Practice Guide (SSBPG)" commissioned in 2014, and published by Public Service and Procurement Canada (PSPC) as a departmental guide in 2021.
The SSBPG was the result of collaboration and extensive research efforts of PSPC, National Research Council (NRC), RCMP and private sector experts to provide guidelines on meeting speech security requirements for office accommodations. The intent was a set of guidelines pertaining to speech security for enclosed rooms to aid in the successful delivery of office accommodations. The RCMP LSA embarked on a plan to endorse the SSBPG and make it suitable for all of the GC.
It is with grateful acknowledgement to the original contributing authors of the SSBPG, NRC, RCMP and PSPC (formerly Public Works and Government Services Canada) that this guide has been developed and published. Contributors will be consulted on future updates to this guide.
Effective date
The effective date of GCPSG-017 Special Discussion Area Construction Guide is 2022-12-12.
Record of Amendments
Amendment number | Date | Entered by | Summary of amendment |
---|---|---|---|
1 | 2023-06-09 | D. Pumphrey | Fixed email link directing to wrong address |
2 | 2024-02-07 | T.R. Murphy | Correction/Removal of Secure Discussion Area terminology |
Note: Authority for modifications or variances is Royal Canadian Mounted Police Lead Security Agency for Physical Security (RCMP LSA).
Introduction
Purpose
The purpose of this guide is to provide Government of Canada (GC) employees with information on the requirements for establishing a Special Discussion Area (SDA). Employees should also consult their departmental security policies, directives, standards, processes, and guides for additional information and direction.
Applicability
This guide identifies physical security requirements for establishing special discussion - speech secure areas but may not fully address the IM/IT security (cybersecurity) for GC systems used in the creation, processing, or storage of electronic information.
Information Technology Considerations
With the constantly evolving threat landscape, and the convergence of physical and information technology (IT) security, the requirement to assess the risk of any application and/or software connected to a network to operate and support equipment in Government of Canada controlled buildings is critical. Some examples of these control systems could be for items such as, but not limited to, security lighting, perimeter gates, doors, HVAC, etc.
Before implementing any applications and/or software that will control and/or automate certain building functions, your departmental security requires the completion of a Security Assessment and Authorization (SA&A). This will ensure that the integrity and availability of the components the applications and/or software controls are maintained and that any risks highlighted will be mitigated. Starting the SA&A process early is highly recommended to ensure project delivery schedules are not affected. For more information on the SA&A process, please consult your departmental Security.
Contact information
For more information, please contact:
-
RCMP Lead Security Agency for Physical Security
73 Leikin Dr, Mail Stop #165
Ottawa ON K1A 0R2 - rcmp.lsa-grc.posm@rcmp-grc.gc.ca
List of acronyms and abbreviations
List of acronyms and abbreviations
- ASHRAE
- American Society for Heating, Refrigerating and Air-Conditioning Engineers
- ASTM
- American Society for Testing Material
- AC
- Articulation Class
- AI
- Articulation Index
- FSA&A
- Facility Security Assessment & Authorization
- GC
- Government of Canada
- IT
- Information Technology
- LSA
- Lead Security Agency for Physical Security
- NPMS
- National Project Management System
- NRC
- National Research Council
- PSPC
- Public Service and Procurement Canada
- RCMP
- Royal Canadian Mounted Police
- SA&A
- Security Assessment and Authorization
- SCIF
- Secure Compartmentalized Information Facilities
- SDA
- Special Discussion Area
- SII
- Speech Intelligibility Index
- SNR
- Signal to Noise Ratio
- SPC
- Speech Privacy Class
- SSBPG
- Speech Security Best Practice Guide
- STC
- Sound Transmission Class
- TL
- Transmission Loss
- TRA
- Threat and Risk Assessment
Glossary
Glossary
- Class
- A single number rating system used to determine how walls, ceilings, desks, chairs, etc., provide sound attenuation in an open environment.
- Articulation Index
- A testing method used to measure speech privacy in open floor plan type spaces (offices, meeting rooms, etc.) by indicating how background noise can affect speech levels.
- Asset
- Tangible or intangible things of the Government of Canada. Assets include but are not limited to information in all forms and media, networks, systems, materiel, real property, financial resources, employee trust, public confidence and international reputation.
- Attenuation
- As sound passes through different objects or layers, it impacts the quality of the sound.
- Facility
- A facility may be a building (whole or part) and may include its site or land, or may be an area or construct that is not a building (that is, weapons ranges, agriculture fields).
- Speech Intelligibility Index
- A physical measure directly related to the intelligibility of speech that is calculated from acoustical measurements of noise and speech.
SPC and Standards Background
Prior to American Society for Testing Material (ASTM) E2638 and the speech privacy class (SPC) criteria there were no specific standards available to definitively quantify speech security design requirements or assess compliance. In some cases, it was attempted to adapt standards developed around defining the quality and intelligibility of speech at various receiver points inside a large room or auditorium, to defining the loss of same to receiver points outside a room. This would refer to standards and terminology such as Speech Intelligibility Index (SII - ANSI S3.5), Articulation Index (AI - ASTM E1130) and Articulation Class (AC - ASTM E1111). While these methods do indicate loss in speech intelligibility, results may be uncertain when attempting to use them to define the speech security provided by a room's envelope. They also require various exceptions to be made in the standard measurement procedures and analysis process and don't directly relate to security protection criteria.
While subjective testing may still be somewhat relevant as it provides a "real" performance indication using human listeners and real or recorded voice sources, its results are reported statistically and based on the responses of the varying test subjects. Therefore, ideally to be the most effective this would require using various ages, genders, and languages for test participants for both sources and receivers. It requires formulating source content, reviewing test responses and providing results based on various source and receiver scenarios. Depending on security requirements and the number of rooms required to test this could become an inefficient and involved process that may not provide definitive results easily linked with security criteria. If the results tend to be uncertain then quantitative acoustical testing methods would likely need to confirm actual results. Although once used commonly these methods may be best suited to client performance demonstrations in mock-ups or with selected as built examples.
Standards based on sound absorption and sound transmission loss such as ASTM E90 and E336 have been traditionally used to rate the performance provided by specific wall designs and materials determined under ideal laboratory conditions (E90) and for the measurement procedures used to determine their performance as built (E336). The criteria commonly referred to as Sound Transmission Class (STC) has sometimes been arbitrarily and/or improperly used in project specifications and its specific performance implications misunderstood and presumed. The most common misconception being that, specifying a particular STC wall design will translate into an equivalent STC room performance as built, and therefore will also meet speech security requirements assumed for the STC specified. Fit-up specifications may also fail to account for the entire room envelope's STC requirements such as for the floor/soffit slabs, ceilings, doors and windows or other features. What also has to be considered are the HVAC duct layout and return air system, electrical conduits, sprinkler pipes or other services traversing room walls and introduced into the wall cavities which affect the room's overall acoustical and speech security performance.
While the sound transmission loss is also part of the basis of the SPC criteria, it also considers other factors such as proximity, background noise levels and probability factors and is concentrated specifically on speech characteristics and propagation. The "STC" standard procedures and criteria provide a good basis to specify design requirements and still have their relevance particularly for infield assessments prior to completion of construction for performance checks. There are variations in these test methods and reporting criteria based on various factors but ultimately all provide what may be considered an "average" in-field performance and may indicate if security compliance is probable or not. However, they don't quantify speech security unequivocally and could easily not identify sound/security leakage points, and yet still indicate compliance with STC design criteria.
The ASTM E2638 measurement procedures referenced provide a refined process that can accurately and efficiently define speech security provided around the entire room's accessible perimeter, and can identify the location of specific points where speech security leaks may exist. It should be noted that E2638's testing procedures are limited to assessing fully completed constructions ready for occupancy, or in assessing existing room constructions. The intent of the SSBPG is to minimize the risks of discovering that problems exist late in commissioning process by proper planning, construction and quality control methods throughout the projects progress. Testing requirements may then be limited to a smaller percentage of locations or to those requiring the highest levels of speech security compliance.
Table 1 provides the SPC criteria ratings and the corresponding level of protection that would be associated with them and is based on the highest level of sensitive information to be discussed in them. Details related to construction process requirements are provided in Section 6.
Speech Security Project Management
It is beyond the scope of this guide to include all the various project management activities and tasks where its implications need to be applied in all cases, it is assumed that project management teams will know best where they are most relevant. What is important to take into account from a project's inception, is the provision of speech security requires significantly more logistical considerations and resources to implement than "standard' fit-up requirements and should not be considered as an "add-on" dealt with at later stages of a project. It is important to ensure that a Threat and Risk Assessment (TRA) has been completed and to use the Facility Security Assessment & Authorization (FSA&A) process during project management for the construction of an SDA. The following general accommodations scenarios are those that would be the most commonly encountered when building an SDA.
Existing Space
The use of existing locations "as is" that may be adapted to meet the client's entire security and accommodation requirements with existing locations within the facility that have been tested and certified to meet a client's SPC security requirements
Partial Retrofits
Partial retrofits would imply a limited number of spaces within larger existing facility which require renovations to meet speech security requirements. This may include rebuilding or enhancing specific room walls or partitions, adding vestibules, modifying duct work, replacing doors or as required to meet the specified SPC requirements. These situations may introduce various challenges to properly implement into existing base building design and layouts.
New Construction or Full Retrofits
The main concentration and content of this guide is based on the provision of larger scale new constructions or full retrofit projects requiring multiple speech secure rooms within a larger open plan office area and/or between adjacent rooms and spaces. These scenarios allow the opportunity to implement and integrate speech security requirements as efficiently and effectively as possible into the National Project Management System (NPMS) model for accommodation plans.
Speech Security Cost and Schedule Forecasts
Initial accurate forecasting of speech security requirements is critical as costs and timelines can be significantly more than those required for the provision of "standard" closed office space and these should be well accounted for and justified from the start. While these details and forecast will need to be further refined in later project stages it would be prudent not to underestimate the possible implications.
Using the layout concept or an established layout plan, the secure closed offices and other rooms need to be located and identified on the plan as best as possible. The corresponding established SPC security protection levels need to be determined and assigned to those rooms, at a minimal this would require knowing the number, type and approximate size of rooms and security protection level required. However, having a relatively accurate layout plan would also allow for preliminary mechanical systems routing to also be conceptualized in order to aid in estimating these implications. It may be desirable that identifying speech secure locations and assigning the appropriate SPC criteria be done in cooperation with security officials conducting TRA and/or other assessments.
In order to try and accurately forecast costs and timelines associated with the provision of speech security consideration needs to be given to, base building design details; services routing; "non- standard" and enhanced interior design specifications; special materials/features quantities and availability (for example, high STC doors); labour skills and scheduling; security compliance testing. Well- coordinated plans, lines of communication and schedules will need to be developed between the SST and the various disciplines of consultants, contractors and trade subcontractors in order for implementation to be completed effectively and efficiently.
Selecting Speech Security Criteria in terms of SPC Values
This section describes criteria that are intended to protect information discussed in closed rooms against normal overhearing by eavesdroppers outside the room. 'Discussions' include speech from people in the room talking to each other, or talking into telephones and other communication systems. (Italicized words in this section are explained in the definitions of Section 7.1 below).
The criteria are expressed in terms of the SPC values and are intended to provide acceptable protection for the highest level of information that may be discussed in a particular room. The criteria are to ensure that the construction of the room together with the ambient noise level outside the room will appropriately reduce the risk of speech, transmitted from the room, being intelligible or audible to listeners located outside the room.
The speech privacy and speech security criteria included in this section are a key part of providing secure closed rooms for discussions. These criteria are intended to ensure only that the construction details and mechanical equipment of the building provide adequate speech privacy or speech security at locations outside particular closed rooms. They are intended to mitigate the risk of normal overhearing of speech sounds, transmitted from a room, by eavesdroppers located outside the room. These criteria should be applied to both new constructions and existing closed rooms where sensitive material is discussed.
These criteria will not be sufficient to protect against more determined forms of eavesdropping, such as listeners touching the wall or using electronic surveillance devices. Such more determined forms of eavesdropping are beyond the scope of this section. To address such threats, it is necessary to consider other factors (such as restricting access to adjoining spaces, (See also Section 6), in addition to meeting the minimum required SPC values provided in Section 7.1 and Table 1. This section does not take into account the many technical details that need to be considered to protect against more determined forms of eavesdropping, nor does it consider the physical protection of sensitive assets such as documents.
Section Definitions
- Intelligibility of speech
- Speech is said to be intelligible when more than 50% of a panel of attentive listeners with unimpaired hearing can correctly repeat back at least one word of short test sentences.
- Audibility of speech
- Speech is said to be audible when more than 50% of a panel of attentive listeners with unimpaired hearing can just hear some speech sounds although they may not understand any of the words.
- Speech Privacy
- Conditions in which it is difficult to understand speech from a nearby room. Speech may be occasionally intelligible although speech sounds will be frequently audible.
- Speech Security
- A high level of speech privacy where speech sounds from a nearby room would be no more than very rarely intelligible and only occasionally audible.
- High Speech Security
- A very high level of speech privacy where speech sounds from a nearby room would be essentially unintelligible and only very rarely audible.
- SPC
- A quantity combining a measure of the attenuation of speech sounds transmitted from a closed room and the level of ambient noise at points outside the room. SPC values are directly related to the audibility and intelligibility of speech, transmitted from a nearby closed room, and are technically defined in the ASTM E2638 measurement standard and reference.
- Closed room
- A room where the walls, with included doors and windows, along with the floor and ceiling, form a completely closed space, providing sound isolation between the room and all adjacent spaces.
- Normal overhearing
- The action of an eavesdropper (with good hearing) outside a closed room, listening attentively at locations possibly close to, but not touching, the outside of the room, and not using electronic devices to aid in hearing speech sounds transmitted from the closed room.
- Ambient noise
- General sounds in the indoor environment such as ventilation noise, the sounds of office equipment, or more distant conversations that can mask or make it more difficult to hear or understand particular speech sounds.
- Frequently audible
- Audible approximately once every 2 minutes.
- Occasionally intelligible/audible
- Intelligible or audible approximately 4 times in a 1 hour period.
- Very rarely intelligible/audible
- Intelligible or audible approximately 4 times during an 8 hour period.
- Essentially unintelligible
- Intelligible approximately once in a period of two working days (that is, 16 hours).
Speech Privacy and Speech Security Criteria
Minimum SPC Criteria
All rooms for sensitive discussions should be designed to have a minimum SPC rating determined by the highest level of information to be discussed in the room. The minimum recommended acceptable SPC values are given in Table 1. Room designed to meet a particular SPC value, and tested to confirm that the level has been achieved, is acceptable for discussions of all levels of information up to and including the highest level of information specified in Table 1 for the particular SPC value.
The terms in Table 1 concerning how often one or two words from an adjacent room might be audible or intelligible may be described as follows:
- Frequently audible
- Audible approximately once every 2 minutes.
- Occasionally intelligible/audible
- Intelligible or audible approximately 4 times in a 1 hour period.
- Very rarely intelligible/audible
- Intelligible or audible approximately 4 times during an 8 hour period.
- Essentially unintelligible
- Intelligible approximately once in a period of two working days (that is, 16 hours).
Category | Highest Level of Categorization | Minimum Acceptable SPC | Speech from room is… |
---|---|---|---|
Standard Speech Privacy | Protected B | 75 | occasionally intelligible, and frequently audible |
Standard Speech Security | Protected C, Secret | 80 | very rarely intelligible, and occasionally audible |
High Speech Security | Top Secret | 85 | essentially not intelligible, and very rarely audible |
Other categories of information
The terms used to describe the highest level of information to be discussed in Table 1 (Protected B, Protected C, Secret, and Top Secret) are categories of sensitive information used by the Canadian Government. Often different terms may be used, or the same terms may be used differently in other jurisdictions. For example, the term 'Confidential' may have more significant implications in other jurisdictions than in Canada. Other types of information may also need the same protection as one of the 3 categories in Table 1. As an example, solicitor-client conversations may require rooms with SPC 80 ratings, but in some special cases would require an SPC 85 rating. Similarly, discussions between judges in court houses might typically require rooms with SPC 80 ratings, and doctor-patient conversations possibly rooms with SPC 75 or 80 ratings. However, it is not possible in this section to give equivalencies between all other categories of information and those in Table 1. The user needs to equate the needs of such other types of information to those provided by one of the categories in Table 1.
Exceptional speech security requirements
In some exceptional cases, the information being discussed may be rated higher than Top Secret. This might lead to the requirement for an even higher level of speech security corresponding to an SPC of 90 which would provide conditions for which speech would be unintelligible and essentially always inaudible to an eavesdropper outside the room. This may require a Threat Risk Assessment (TRA) to justify the need for this higher security and very specialized help to ensure that the design meets such exceptional requirements. SPC 90 would be costly and difficult to achieve in most situations.
Testing for Compliance with Criteria
All new and newly renovated rooms for sensitive discussions should be tested by an independent third-party acoustical specialist for compliance with the required SPC rating following the procedures described in ASTM E2638 [1,2]. Measurements should include more likely locations of potential eavesdroppers and more likely locations of weak points in the sound isolation of the room such as near doors. Testing should be repeated after any renovations to the room that may affect the integrity of the room boundaries, as well as after changes to correct previously identified deficiencies. In addition, testing should be repeated periodically to confirm the continuing compliance with the required criteria in spite of wear to door seals and other possible degradation due to wear over time. Re-testing would be particularly important for rooms intended to provide protection to the High Speech Security level. Rooms that have not been tested to demonstrate their compliance with a particular SPC criterion should not be used for discussion of sensitive information.
Consideration of Adjacent Spaces
Control of adjacent spaces is always desirable and a system of hierarchical zones can ensure that adjacent spaces are restricted to acceptable personnel. Rooms intended to provide protection to the Speech Security and High Speech Security levels should not be adjacent to an uncontrolled space.
Control of access to adjacent spaces is not needed to prevent normal overhearing of speech from the room, but is helpful to mitigate more determined types of eavesdropping involving touching the walls of the room or using electronic devices. Protection against such more determined forms of eavesdropping is beyond the scope of this section but would usually require control of adjacent spaces.
In some situations, an unoccupied adjacent space can be used as a buffer zone to enhance the speech security of the room. For example, a 'room-within-a-room' type construction can be used to achieve very high levels of speech security. In these situations, SPC ratings could be measured between the room and spaces outside of the immediately adjacent buffer zone. In other cases, where the adjacent space is occupied or where people pass through the adjacent spaces, it should not normally be counted as a buffer zone when measuring the SPC rating of the room. Where there can be people in the space, it can only be included as a secure buffer zone if all people in the adjacent space have a legitimate need to know the material to be discussed in the room.
Designing to Achieve these Criteria
There are many details that will influence the acoustical privacy of a meeting room [4]. To ensure that 'as-built' constructions meet the desired performance goals, it is good practice to design for an SPC value of up to 5 points higher than the criterion design goal for each category because the real construction will often not perform as well as intended. It is also important that there is careful monitoring of the construction process to provide appropriate quality assurance. Having an adequate wall is only one part of the problem. Doors into a closed room usually limit the sound isolation and a carefully designed vestibule is often needed. There are also many other sound paths that allow sound to be transmitted from the meeting room to adjacent spaces other than directly through the common wall. These would include: thin concrete floor slabs, connecting ducts, pipes and conduit penetrating the room boundaries. Without proper consideration of all of these flanking paths, it will not be possible to achieve the requirements for higher levels of security.
It is recommended and is usually cost effective to use an acoustical consultant with expertise in designing rooms for acceptable speech security when constructing closed rooms for all levels of sensitive discussions. This is essential for exceptional cases above the High Speech Security category, where each room needs to be specially designed to meet all local requirements, as well as the specified minimum SPC value.
Design Details for Speech Security in Terms of SPC Values
This section includes practical design information to help users successfully achieve high speech security. This includes: floor plan concepts that more easily make it possible to create speech secure rooms, descriptions of common causes of failures, design details that have been found to help provide high speech privacy, and extensive tables of wall TL(avg) values.
Section 7.2.1 described the SPC rating that includes measures of the ambient noise and the speech sounds transmitted through walls. It is essential that both factors are appropriate to achieve the desired speech privacy for a particular room. The amount of transmitted speech sounds is determined by the apparent average transmission loss of the wall TL(avg) and values of TL(avg) are included in this section for 94 different types of wall constructions. At the design stage ambient noise levels can be estimated as described in Section 7.2.1 of the main document.
There is of course much more to achieving adequate speech privacy than choosing the right wall construction. This section attempts to provide a wide range of practical information to aid the user to get successful results with the desired level of speech privacy.
Design of Different Kinds of High SPC Rooms
The design of high SPC rooms, or suites or even entire buildings will be most successful if a system's design approach is used. The system comprises all the elements which make up the area to be controlled in terms of SPC. This includes all of the building systems, such as HVAC, plumbing, fire protection, electrical services, communications and connectivity, security and signaling systems, building envelope, structure, and of course the architectural design. A plan of the area needs to first be evolved by consideration of the space available, the space required and the adjacencies between the various areas of the building. A successful product in terms of high speech privacy rating (ie. high SPC rating) has to consider all of the elements involved, including not only the constructed space but also the access to the spaces surrounding the protected space. It is only if all of the elements of the system are given due consideration that a high SPC result can be achieved. Since any single element in the system can cause a failure in speech privacy, it is paramount to always consider the overall area being protected as a system and to consider the interactions of each element and how they affect the overall performance. It is of no use to have 90% of the elements functioning perfectly and have a failure in SPC due to just 10% of the elements performing inadequately in terms of sound isolation.
Once the adjacencies and space planning have been considered, the detailed architectural design can commence. The easiest part of any design of a highly sound isolated space is the selection of a wall or floor section from a catalogue or listing of such assemblies. However, this alone usually does not ensure high performance, as it is all of the other elements that can reduce the final performance. All of the parties involved need to participate in the design and construction phases with the understanding that no single element of the system can be left unconsidered. This means that the client who will occupy or use the space, the designers, project managers, the builders and property owners need to work together to allocate sufficient resources to ensure the success of the project. For example, the HVAC design cannot be done independently of the architectural design, as ducts need to be run in such a way that the holes and cavities inside the ducts do not compromise the sound isolation, and so that there is room in the architectural plan to run ducts with the required routing to attenuate sound. A guaranteed failure is to have the architect evolve a floor plan and then to have the mechanical engineer run all of the ductwork straight through from one room to another because there is insufficient room in the circulation or other spaces to run the ductwork. Irrespective of how well the walls have been designed or constructed, the sound will enter into the ducts and travel from room to room, bypassing the wall. This is an example of a system failure, where weakness in one single element in terms of sound transmission causes a poor result in terms of SPC.
Speech Privacy Perimeter Concept
When considering an area or room to be protected in terms of speech privacy, it is useful to think of a secure perimeter around the area to be protected along with the room or group of rooms being protected. The room or rooms being protected as part of a suite are considered as the protected floor area from where speech to be protected originates, while the perimeter is a line outside the protected area totally surrounding the protected area. This concept is useful as it defines the area where sound sources are to be placed for testing SPC and also defines the perimeter outside the area where measuring points are to be located to verify performance. This concept also has the benefit of indicating where access is to be controlled in order to reduce potential eavesdropping. While the protected area in question can be a single room with the perimeter being that line surrounding the room, it can also be much more complex, which is where the concept is the most useful.
The simplest example is a single meeting room or office to be protected with an adjacent communicating office or vestibule. The protected area is simply the meeting room or office, and does not include the adjacent office or vestibule, as these areas have controlled access. The Speech Privacy Perimeter is the line in plain view surrounding the total area formed by the protected area plus the adjacent office or vestibule. A more complex example is a meeting room with an associated equipment room and translation room. The sound to be protected can be heard in any of these rooms, as loudspeakers may be being used to monitor speech occurring in the meeting room, or interpreters may be repeating in a different language the same protected content from a room adjacent to the meeting room. In this case the area to be protected includes not just the meeting room, but two other rooms as well. This suite of rooms may also incorporate other rooms with protected access or with access only from inside the suite, or sound locks/vestibules. Speech does not occur in these ancillary areas and as the areas have controlled access, and there are no listeners there that have not been granted access, the SPC does not need to be controlled there. One then adds a Speech Privacy Perimeter surrounding the suite consisting of the original room to be protected along with the ancillary rooms to determine a line in plan or section view where potential eavesdropping can occur. This allows the use of ancillary rooms to form intermediate areas as buffer zones where sound has to go through two sets of walls, doors or ducts before reaching the protected perimeter. This aids in reducing the performance requirements of any single element, in particular doors and glazing and ducts in order to reach the required level of SPC.
Figure 1 illustrates a large Conference or Boardroom/Meeting Room Suite with multiple ancillary spaces typically associated with such suites. There are some rooms which form part of the suite, and these rooms are accessed from within the suite itself. There are only two entrance points, the first through a double set of doors through a vestibule Rm 106, and the other a single door through a corridor Rm 104. All of the rooms that form part of the suite have been identified by room numbers in the 10X range, starting with the meeting room itself, Rm 100 through to the small storage room, Rm 107. The Service spaces surrounding the suite on the right have been given numbers in the 15X range, and these might be mechanical and electrical rooms. Other rooms unrelated to the suite in question have been given numbers in the 16X range, and these include the primary access corridor Rm 160, along with rooms part of another suite, Rm 163 and 164, as well as an unrelated room for Communications, Rm 161. The thick wall at the top is an exterior wall.

The first task that needs to be done is to identify rooms might have voice sounds needing to be protected from eavesdropping. In this particular example, other than the large meeting room Rm 100, the only other room where speech needs to be protected is the interpretation booth, Rm 102. It is in that room that the interpreters repeat in their own voices but in a different language what was said in the meeting room. Thus speech from the interpretation booth needs to be protected. It is assumed that any person in the suite will wait to be in either of those two rooms, and with all doors closed before discussing protected material
Figure 1 also shows the areas to be protected as a hatched floor area. In some cases, it might be the case that the Control Rm 103 forms a part of the area to be protected as the sound picked up by the conferencing microphones in the meeting room might be amplified over loudspeakers for quality monitoring by the control room personnel. However, in this case it was determined that there would be no such sound reproduction in the control room and that this area did not need to be protected.
Once the areas to be protected have been identified, diagrams showing the area to be protected similar to Figure 1 should be presented to the persons responsible for determining SPC requirements to confirm that the areas indicated are indeed the only areas needing to be protected.
If the areas to be protected have been fully determined, then one can proceed to the next task which is to determine the Speech Privacy Perimeter (SPP). The SPP is simply a line surrounding the Protected Area, and it can also enclose multiple rooms which do not form part of the Protected Area. The benefit of this is that it allows surrounding rooms to form buffers for sound to pass through. This can enhance speech privacy similar to using vestibules to provide sound locks to counter the difficulties using single doors to contain sound adequately. These buffer rooms also provide spaces for ducts, HVAC terminal units and building connectivity to enter the suite without going directly through the walls surrounding the areas to be protected from an area of potential eavesdropping.
Figure 1 also includes a dashed turquoise line to identify the Speech Privacy Perimeter, which effectively surrounds the Protected Area, but not directly along the walls of the Protected Area itself. The SPP actually includes all of the rooms in the number range of 10X. This is because the floor plan has been organized in such a manner as to require entry into the suite via one of the two entrance door points in order to gain access to the rooms inside the SPP which do not form part of the Protected Area. The only reason this is possible is because careful consideration was given to establishing a SPP in the design of the floor plan, by organizing the room adjacencies, the corridors and entrance points for each room. The example shows the final design arrived at from a series of initial layouts. These layouts were revised during the design process to satisfy all of the suite's requirements while providing an effective Speech Privacy Perimeter.
The SPP forms a line along which a person could try to overhear speech from the Protected Area. It also forms a line along which one might agree to test the value of the SPC, and outside of which one does not expect to control access. Any area contained inside the SPP forms part of a controlled access zone and does not in itself require the highest levels of SPC. However, it always needs to be considered that the walls within the SPP require a high level of average Transmission Loss (TL(avg)) rather than a particular STC rating in order for the buffer rooms and vestibules to function effectively to block sound and provide the required speech privacy for the protected area. It may be required to test the performance of intermediate walls inside the SPP to guarantee performance along the SPP. In some cases, it allows the use of only one acoustically rated door with the second one being only a regular solid door, for example, with seals all around.
In the example, the SPP line is generally not along a wall directly closing off the Protected Area, but rather along the walls of the rooms serving as sound isolation buffers. This type of design will be the most successful in terms of providing high levels of SPC, and should always be considered for rooms requiring high security, in particular for rooms with multiple doors along their perimeter, and rooms where speech is amplified over loudspeakers.
In situations where the SPP needs to be along a wall directly at the perimeter of the protected area due to planning or space constraints, such as between rooms 100 and 150, 151 and 152 in the example in Figure 1, the penetrations need to be minimized. Ducts should not be run through these walls, and all other penetrations for electrical, communications, etc. should also be minimized. These building services should rather go through the buffer rooms, such as Rm 105 for instance.
SDA's and SCIF's and SPC
This document does not address all the issues normally addressed in documents describing the requirements for Special Discussion Areas (SDA's) and Secure Compartmentalized Information Facilities (SCIF's) as these documents deal not only with the isolation of sound and thus speech privacy, but also physical security and other security issues such as the actual levels of security required depending on the functions of the rooms involved.
It is hoped however that the acoustical parts of these existing and generally old documents will be replaced by elements from this document based on SPC ratings, since the acoustical recommendations found in the older documents are outdated and often have not been proven to function adequately in terms of sound isolation. They have certainly not been written in terms of SPC ratings, as the standard did not exist when those documents were prepared. It is very difficult to find the sources for the designs recommended, the science behind the recommendations, or any test results backing up the recommendations relating to acoustics in the SDA and SCIF documents. Also many agencies simply copy and adapt old documents to make their own documents. An example is one document that only allows a staggered stud wood wall built on a common floor plate for adequate acoustical isolation. This is clearly not representative of modern building construction and ignores the dozens and dozens of other wall types which will provide even better sound isolation. The documents do not deal with background noise, and this is absolutely fundamental to the level of speech privacy obtained. As experience is gained in the design of high SPC construction, the documents relating to SDAs and SCIFs will hopefully be re-written and refer to this Guide which is based on scientific research on perception and performance, as well as on tests in real buildings, or at least incorporate elements of this guide.
Wall selector
At the design stage, speech privacy criteria are specified in terms of SPC values defined in ASTM E2638 and in section 7.
Formula: SPC ≈ TL(avg) +Ln(avg) - Where TL(avg) is the 'average apparent sound transmission loss' of the room boundaries and Ln(avg) is the 'average background noise level' at the location of a potential eavesdropper. In both cases '(avg)' indicates arithmetically averaging the decibel values over the speech frequencies from 160 to 5,000 Hz. The SPC rating is based on the understanding that both ambient noise levels and transmitted speech levels influence the amount of speech privacy.
This section provides extensive tables of TL(avg) values from laboratory measurements of sound transmission through various constructions. These are the same test results from which STC ratings are determined, but TL(avg) values have been found to be much more accurate predictors of the speech privacy provided by the wall.
TL(avg) values are provided for 74 types of stud wall constructions from standard laboratory test results in Table 2. This table includes a section drawing through each construction type and includes the results of combinations of 13 stud configurations and 6 different arrangements of gypsum board layers. The 6 combinations of gypsum board layers that were described in Table 3. The 13 different stud configurations are described Table 4. The table also includes STC ratings of each construction. However, STC values are only approximately equivalent to the TL(avg) values and are only included for those more familiar with STC values than TL(avg) values.
TL(avg) /STC values | 13 mm gypsum board | 16 mm gypsum board | ||||
---|---|---|---|---|---|---|
Construction | 1 & 1 | 1 & 2 | 2 & 2 | 1 & 1 | 1 & 2 | 2 & 2 |
![]() SS65(406) |
51.0 / 35 | 53.5 / 40 | 56.7 / 46 | 51.3 / 40 | 54.9 / 45 | 58.2 / 52 |
![]() SS65(610) |
49.5 / 43 | 53.1 / 48 | 55.9 / 54 | 50.9 / 43 | 54.3 / 50 | 56.6 / 55 |
![]() SS65(406) |
52.0 / 42 | 54.4 / 48 | 57.4 / 53 | 51.5 / 45 | 55.3 / 50 | 58.3 / 54 |
![]() SS90(610) |
52.3 / 48 | 55.1 / 53 | 55.9 / 55 | 51.9 / 49 | 54.6 / 53 | 57.6 / 56 |
![]() SS90(406)_RC |
55.1 / 48 | 58.8 / 54 | 62.7 / 60 | 53.5 / 60 | ||
![]() WS90(406)_RC |
53.8 / 43 | 57.1 / 48 | 61.0 / 55 | 52.0 / 45 | 57.3 / 51 | 60.7 / 56 |
![]() WS90(610)_RC |
53.2 / 47 | 57.3 / 54 | 60.5 / 59 | 54.4 / 49 | 57.3 / 54 | 61.3 / 59 |
![]() SWS90(406) |
54.1 / 45 | 53.8 / 50 | 56.2 / 53 | 50.8 / 49 | 54.6 / 53 | 57.2 / 57 |
![]() SWS90(406)_RC13 |
63.7 / 50 | 65.7 / 54 | 66.7 / 60 | 60.7 / 53 | 65.1 / 58 | 65.9 / 63 |
![]() SWS90(610)_RC13 |
57.8 / 49 | 63.6 / 54 | 53.4 / 52 | 61.7 / 56 | 68.6 / 62 | |
![]() SS40(610)_AIR25_SS40(610) |
61.6 / 53 | 63.8 / 59 | 66.1 / 63 | 65.8 / 55 | 69.6 / 65 | |
![]() SS65(610)_AIR25_S65(610) |
59.3 / 54 | 62.4 / 60 | 64.5 / 62 | 58.5 / 55 | 62.2 / 61 | 64.9 / 65 |
![]() SS65(610)_AIR25_S65(610) |
59.3 / 54 | 62.4 / 60 | 64.5 / 62 | 58.5 / 55 | 62.2 / 61 | 64.9 / 65 |
![]() WS90(610)_AIR25_WS90(610) |
66.6 / 55 | 70.2 / 59 | 72.6 / 65 | 67.9 / 59 | 68.8 / 64 | 72.2 / 68 |
Gypsum board thickness | Numbers of layers | Description |
---|---|---|
13 | 1 & 1 | 1 layer of 13 mm gypsum board on each side of the wall. |
13 | 1 layer of 13 mm gypsum board on one side of the wall and 2 layers of 13 mm gypsum board on the other side of the wall. | |
13 | 2 & 2 | 2 layers of 13 mm gypsum board on side each of the wall. |
16 | 1 & 1 | 1 layer of 16 mm gypsum board on each side of the wall. |
16 | 1 & 2 | 1 layer of 16 mm gypsum board on one side of the wall and 2 layers of 16 mm gypsum board on the other side of the wall. |
16 | 2 & 2 | 2 layers of 16 mm gypsum board on each side of the wall. |
Stud configuration | Description |
---|---|
SS65(406) | Single 65 mm 25 gauge steel studs at 406 mm spacing |
SS65(610) | Single 65 mm 25 gauge steel studs at 610 mm spacing |
SS90(406) | Single 90 mm 25 gauge steel studs at 406 mm spacing |
SS90(610) | Single 90 mm 25 gauge steel studs at 610 mm spacing |
SS90(406)_RC | Single 90 mm 16 gauge steel studs at 406 mm spacing with resilient channels on one side |
WS90(406)_RC | Single 90 mm wood studs at 406 mm spacing with resilient channels on one side |
WS90(610)_RC | Single 90 mm wood studs at 610 mm spacing with resilient channels on one side |
SWS90(406) | Staggered 90 mm wood studs at 406 mm spacing |
SWS90(406)_RC | Staggered 90 mm wood studs at 406 mm spacing with resilient channels on 1 side |
SWS90(610) | Staggered 90 mm wood studs at 610 mm spacing with resilient channels on 1 side |
D_SS40(610) | Double 40 mm 25 gauge steel studs at 610 mm spacing with 25 mm gap between stud sets |
D_SS65(610) | Double 65 mm 25 gauge steel studs at 610 mm spacing with 25 mm gap between stud sets |
D_WS90(610) | Double 90 mm wood studs at 610 mm spacing with 25 mm gap between stud sets |
In addition to the data for stud walls, TL(avg) values are also included for 20 types of concrete block walls with various combinations of gypsum board surface layers in Table 5. The data is from an extensive research study of the sound insulation provided by concrete block walls [11, 12]. The two types of concrete blocks included are described in Table 6. The concrete block walls include 16 mm Gypsum board attached to one or both surfaces using one of 5 systems described in Table 7.
TL(avg) /STC values | Single layer G16 supported by one of: | ||||
---|---|---|---|---|---|
Construction | WS40 | RC13 | ZC50 | SS65 | ZC75 |
![]() BLK140 - G16 on one side of block |
55.0 / 54 | 55.7 / 53 | 57.9 / 58 | 60.6 / 60 | 60.6 / 61 |
![]() BLK140 - G16 on both sides of block |
60.2 / 60 | 61.6 / 54 | 65.9 / 66 | 71.5 / 72 | 71.5 / 72 |
![]() BLK190 - G16 on one side of block |
60.2 / 60 | 61.6 / 54 | 65.9 / 66 | 71.5 / 72 | 71.5 / 72 |
![]() BLK190 - G16 on both sides of block |
60.9 / 60 | 62.2 / 50 | 66.1 / 65 | 72.1 / 71 | 72.1 / 72 |
Symbol | Height (mm) | Length (mm) | Depth (mm) | Kg per m2 |
---|---|---|---|---|
BLK140 | 190 | 390 | 140 | 240.1 |
BLK190 | 190 | 390 | 140 | 236.2 |
Symbols | Cavity depth (mm) | Description |
---|---|---|
WS40 | 40 | Wood studs (strapping) |
RC13 | 13 | Conventional resilient channels (25 gauge steel) |
ZC50 | 50 | Z-bar, steel furring channels (25 gauge steel) |
SS65 | 65 | Steel studs (25 gauge steel) |
ZC75 | 75 | Z-bar, steel furring channels (25 gauge steel) |
It is common practice to select constructions with laboratory results up to 5 points higher than the minimum required value. Although such over design may compensate for some construction flaws, where the apparent sound transmission is limited by flanking paths, little benefit may be obtained from the over design of one particular element. In a real building the apparent sound transmission would depend on the relative importance of the various sound paths. Flanking paths can lead to lower than expected apparent TL(avg) values in field situations. The design needs to also include the effects of flanking paths and doors in calculations to determine the expected apparent TL(avg) of the room boundaries.
In addition to the data for concrete block walls with various combinations of gypsum board surface layers with cavities in Table 5, data is presented for block walls with no finishes or directly attached finishes without cavities in Table 8.
Construction | TL(avg)/ STC values |
---|---|
190mm Block | 50.4 / 50.4 |
190mm Block with 16mm Gypsum on one side | 50.4 / 50 |
190mm Block with 16mm Gypsum on both sides | 51.6 / 49 |
190mm Block, painted on one side | 48.7 / 48 |
190mm Block with 16mm Gypsum on one side and paint on the other | 52.8 / 50 |
190mm Block with 16mm Gypsum on one side and paint then 16mm Gypsum on the other | 52.7 / 46 |
190mm Block | 44.4 / 44 |
140mm Block, 75% full | 49.8 / 47 |
140mm Block, 75% full, painted on one side | 50.3 / 48 |
140mm Block, 100% ful | 52.8 / 50 |
140mm Block, 100% full, painted on one side | 52.8 / 50 |
TL(avg) and STC values for common window/glazing assemblies are presented in Table 9. In this case both single regular and laminated glass values are presented for varying thicknesses of glass, from 3 mm thick to 13 mm thick, and for some common doubled glazed assemblies.
Construction | TL(avg) /STC values |
---|---|
3mm Glass Pane | 28.8 / 30 |
3mm Glass Pane with 6mm Air Space then another 3mm Glass Pane | 31.9 / 28 |
3mm Glass Pane with 9mm Air Space then another 3mm Glass Pane | 33.1 / 31 |
3mm Glass Pane with 0.75mm Plastic then another 3mm Glass Pane | 34.3 / 35 |
6mm Glass Pane | 31.3 / 31 |
6mm Laminated Glass Pane with 9mm Air Space then a 5mm Glass Pane | 37.6 / 37 |
6mm Glass Pane with 0.75mm Plastic then another 6mm Glass Pane | 38.5 / 38 |
13mm Glass Pane | 37.1 / 36 |
13mm Laminated Glass Pane with 50mm Air Space then a 9mm Glass Pane | 46.2 / 46 |
13mm Laminated Glass Pane with 100mm Air Space then a 9mm Glass Pane | 49.6 / 49 |
TL(avg) and STC values for regular and acoustic doors of various types are presented in Table 10a and b. Doors are identified steel or wood.
Construction | TL(avg) /STC values |
---|---|
Acoustic STC 40, 6.6 LB/FT2 Magnetic Noise Control Seals | 39.6 / 40 |
Acoustic STC 46, 12.7 LB/FT2 Magnetic Noise Control Seals | 45.1 / 46 |
Acoustic STC 49, 12.7 LB/FT2 Magnetic Noise Control Seals | 48.3 / 49 |
Acoustic STC 40, 6.8 LB/FT2 Compression Noise Control Seals | 41.0 / 40 |
Acoustic STC 52, 19.0 LB/FT2 Compression Noise Control Seals | 51.3 / 52 |
Regular, Hollow metal 18 gauge 5.4 LB/FT2, No Seals | 17.0 / 17 |
Regular, Hollow metal 18 gauge 5.4 LB/FT2, Foam Weatherstrip | 26.4 / 28 |
Vestibule, 2 x Hollow metal 18 gauge 5.4 LB/FT2, No Seals | 31.3 / 34 |
Vestibule, 2 x Hollow metal 18 gauge 5.4 LB/FT2, Magnetic Seals | 50.6 / 49 |
Construction | TL(avg) /STC values |
---|---|
Acoustic STC 39, Rated Wood Door Without Threshold | 38.2 / 39 |
Acoustic STC 42, Rated Wood With Drop Seal, No Threshold | 40.4 / 42 |
Acoustic STC 45, Rated Wood With Threshold | 45.3 / 45 |
Regular, Solid Core 4.9 LB/FT2, No Seals | 22.6 / 22 |
Regular, Solid Core 4.9 LB/FT2, Foam Weatherstrip | 26.8 / 26 |
TL(avg) and STC values for various types and thicknesses of concrete floors are presented in Table 11. Concrete is either monolithic as used in buildings with concrete structure or over corrugated steel deck as used in steel framed buildings.
Construction | TL(avg) /STC values | |
---|---|---|
40 mm Concrete, 0.4mm corrugated steel deck and 203mm Steel C-joists | 42.7 / 42 | |
100 mm Concrete | 50.7 / 47 | |
75-150 mm Concrete over steel deck (75 mm topping) | 53.4 / 51 | |
150 mm Concrete | 56.6 / 52 | |
200 mm Concrete | 57.6 / 58 |
Mechanical |
|
|
---|---|---|
Electrical |
|
|
Architectural |
|
|
Doors and Door Hardware |
|
|
General |
|
Name | SPC | Description |
---|---|---|
Minimal speech privacy | 70 | A few words will be intelligible at most once each 3 minutes, and speech sounds will frequently be audible (at most once each 0.6 minutes) |
Standard speech privacy | 75 |
|
Standard speech security | 80 |
|
High speech security | 85 |
|
Very high speech security | 90 | Speech not intelligible and very rarely audible (at most once each 11 hours) |
Measurement Procedures
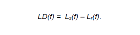
To evaluate the privacy provided by an existing closed room, measurements need to be made of the sound insulation to the listening point (LD), and of the background noise at the listening point (Ln), so that the SPC may be determined.
Summary
- A broadband noise sound field is generated at a high level in the closed room. A loudspeaker is placed successively at two or more locations within the room.
- Receiving points outside the closed room, that are potential weak spots or possible locations for an eavesdropper, are selected for measurement.
- With the source operating in each successive location in the source room, measurements of sound pressure level are made within the room to obtain source room levels, and at points outside the room to obtain received levels.
- With the source turned off, measurements of sound pressure level are made at the receiving points to obtain background noise levels, Ln(f) and Ln(avg).
- The differences in average source room levels inside the room and received levels at each receiving point are determined, and are used to calculate LD(f) and LD(avg) for each receiving point.
- SPC and the corresponding category of speech privacy at each receiving point are determined, using Equation 6.
Measurement Equipment
Sound Source: the sound source shall be a loudspeaker system driven by a power amplifier. The loudspeaker shall be approximately omni-directional, such as a dodecahedron with drivers mounted in each face.
Test Signal: The input signal to the amplifiers shall be random noise containing an approximately uniform and continuous distribution of energy and frequencies over each test band. White or pink electronic noise sources satisfy this condition.
Bandwidth and Filtering: The overall frequency response of the electrical system, including the filter or filters in the source and microphone sections, shall for each test band conform to the specifications in ANSI S1.11 for a one-third octave band filter set, class 1 or better.
Frequency Range: The frequency range for measurement shall be the sixteen onethird octave bands from 160 to 5000 Hz.
Microphones: Measurement quality microphones that are 13 mm or smaller in diameter and that are close to omni-directional below 5000 Hz shall be used.
Microphones, amplifiers, and electronic circuitry to process microphone signals and perform measurements shall satisfy the requirements of ANSI S1.4 for Type 1 sound level meters, except that weighting networks are not required.
Measurement Procedure
Source positions
At least two source positions shall be selected in the central part of the closed room. These positions shall be at least 1.2 m apart and shall be representative of typical locations of talkers in the room. The source positions shall be 1.5 m above the floor in the closed room; and
The number of source positions used will affect the uncertainty in the final result, which can be calculated according to Section 11. More source positions will result in a smaller uncertainty. Users of this method can choose to use the minimum number of source positions (i.e., 2) and obtain a result with unknown, but limited, uncertainty. Users can alternatively decide upon a maximum acceptable uncertainty and repeat measurements with additional source positions until satisfactory results are obtained.
Receiving positions
Select receiving points outside the closed room. Measurements should be made at all locations in the receiving area where possible speech privacy problems are suspected. The regions near doors, windows and other types of weak elements in the boundaries of the room are obvious locations that should be included; To evaluate speech transmission through walls and their components (e.g. doors), microphones should be 0.25 m from the nearest outer surface of the closed room and between 1.2 and 2 m above the floor. (If the microphone is closer than 0.25 m, the measured level is more sensitive to distance from the wall.);
Survey for additional locations where sound leaks may occur by performing initial listening tests. Position the sound source near the middle of the closed room and generate a signal so that the average sound pressure level in the room is at least 80 dBA. With all doors closed, listen carefully outside the closed room, near the boundaries, and identify the locations of probable sound leaks where measurements should be made to assess the speech privacy. In some cases, spot measurement locations may not be adjacent to the room boundary. Where there is sound transmission from the room via flanking sound paths such as through ducts, spot measurements should be made at locations where a potential eavesdropper might be located; and
In addition to the locations identified as probable weak spots, select other positions around the closed room so as to provide complete and uniform coverage of the periphery. Some receiving points will be close to the bounding surfaces of the closed room. Others may be selected close to suspected weak spots such as ventilation duct openings.
Measurement of levels
With the source operating at each source position in the closed room, the average sound pressure level in the room shall be measured in one of the two following ways:
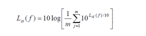
Measure the sound pressure level using at least five fixed microphone positions. The microphone positions shall be at least 1.2 m apart, at least 1.5 m from the sound source and at least 1 m from the surfaces of the closed room. The sound pressure level Lsij(f) in each frequency band, f, shall be measured for each combination of source position i and microphone position j;
Measure the average sound pressure level in each 1/3-octave band by walking around the room with a sound level meter or equivalent analyzer set to measure the time-averaged sound levels Leq. For larger rooms, the operator shall walk slowly moving the microphone in a circular path of at least 0.5 m diameter in front of their body to evenly sample as much as practical of the measurement space. The sound level meter or microphone shall be held well away from the operator's body—at least 0.5 m (a boom serves to increase the distance). The microphone speed shall remain as constant as practical. The operator shall take care to assure that the path does not significantly sample any part of the room volume for more time than other parts. The microphone shall always be more than 1.5 m from the sound source and more than 1 m from the walls of the closed room. The integration time shall be at least 30 seconds. This measurement shall be repeated for each source position i to give Lsi(f), the average source room level in each band, for source position I; and
The sound pressure level shall be measured at each stationary receiving point outside the room for each source position i in the closed room for at least 15 seconds. Measure the received levels with the source operating, Lrni(f), and the background levels with the source switched off, Lni(f).
Note
Measurement of the levels in the closed room by walking around with an integrating sound level meter will enable only approximate estimation of the uncertainty in the final result. The optional procedures for estimating the uncertainty are in Section 11.
Calculations
All calculations shall be made using unrounded, measured values.
Source room levels
a) If source room measurements were made using fixed microphone positions, determine Lsi(f), the average sound pressure level in each band, for source position i, as follows in Equation # 7 below:

where m is the number of microphone positions.
b) Calculate Ls(f), the mean source sound pressure level in the closed room in each frequency band, using Equation # 8 below,

where n is the number of source positions.
c) Calculate Ls(avg), the arithmetic average of source room level over the 16 1/3-octave frequency bands from 160 to 5000 Hz from using Equation # 9 below,

Received levels at each receiving point
a) For each source position i, the received level in each frequency band f at each receiving point shall be corrected for background noise as follows:
- If the difference Lrni(f) - Lni(f) is more than 10 dB then no corrections for background noise are necessary and Lri(f) = Lrni(f).
- If the difference Lrni(f) - Lni(f) is between 5 and 10 dB, the adjusted value of the received level, Lri(f), shall be calculated as follows in Equation # 10:
-
Equation 10 - If the difference Lrni(f) - Lni(f) is less than 5 dB, then set Lri(f) = Lrni(f) - 2. In this case, the measurements provide only an estimate of the upper limit of the received level. Identify such measurements in the test report.
b) Calculate Lr(f), the average received sound pressure level in each band for each receiving point using in Equation # 11,

where n is the number of source positions.
If any of the Lri(f) values are limited by background noise, then the corresponding Lr(f) provides only an estimate of the upper limit of the average received level. Identify such measurements in the test report.
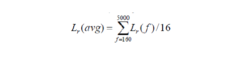
c) For each receiving point, calculate Lr(avg), the arithmetic average of received level over the 16 1/3-octave frequency bands from 160 to 5000 Hz from using Equation # 12 below,

Background noise levels at each receiving point
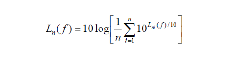
a) Calculate Ln(f), the average background noise level in each band for each receiving point using Equation # 13 below,

where n is the number of source positions.
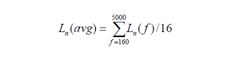
b) For each receiving point, calculate Ln(avg), the arithmetic average of background noise level over the 16 1/3-octave frequency bands from 160 to 5000 Hz from using Equation # 14 below,

Level Differences
a) For each receiving point, calculate the difference in average source room level and average received level in each band using Equation # 15 below,

b) For each receiving point, calculate LD(avg), the average level difference over the 16 1/3- octave frequency bands from 160 to 5000 Hz from using Equation # 16 below,

Speech Privacy Class
a) For each receiving point, calculate SPC from the arithmetic sum of LD(avg) and Ln(avg) using Equation # 17 below,

b) The background noise outside the closed room may vary from time to time, so the measured value Ln is representative of that during the measurement period only. For the purposes of estimating SPC for different noise conditions, the background noise may additionally be measured at different times, or assumed from other knowledge.
Precision
a) The uncertainty in the final measured value SPC depends on the precision of the measurements of: source room average levels, received levels, and background noise levels. Precision of the measurements of the average source and received levels varies with frequency and room properties, the number of source positions, type of loudspeakers used, and the number of microphone positions.
b) The 95% confidence interval for SPC can be calculated according to Section 1. This is not mandatory. Users of this method can decide what an acceptable 95% confidence interval is, and if the initial number of source positions does not give an acceptable value, then more source positions shall be used.
c) Using the minimum specified number of source and fixed microphone positions (i.e., 2 source positions, 5 microphone positions) in a wide range of rooms, the average 95% confidence interval for Ls(avg) has been found to be ±1.1 dB using omni-directional sources, and ±1.6 dB using directional sources [4]. Uncertainty in the final value of SPC will be no smaller than this. Rooms that are smaller than 60 m3 or larger than 200 m3 with a reverberation time less than 0.6 s will likely have larger uncertainties.
Report
Report the following information:
- Statement of Conformance to Method—If it is true in every respect, state that the tests were conducted in accordance with the provisions of this Guide;
- Description of Test Environment— Give a general description of the closed room and furnishings. Give a sketch showing the relationship of the receiving points to the closed room. State the volume of the closed room;
- Description of Measurement Method—Identify the type of loudspeaker used and the microphone method used to measure the levels in the closed room. Indicate the source positions used on the room sketch;
- Statement of Precision—If the confidence interval for SPC was calculated, report it; otherwise state that the uncertainty of the result was not determined;
- Provide a table giving the values of Ls(f), and for each receiving point of Lr(f), LD(f) and Ln(f) at the specified frequencies, rounded to the nearest 1 dB. Identify those values of Lr(f) and LD(f) that were contaminated by background noise; and
- Provide a table giving the values of Ls(avg), and for each receiving point Lr(avg), LD(avg), Ln(avg), and SPC. Identify those values of Lr(avg), LD(avg), and SPC that were contaminated by background noise.
Design Procedures
At the design stage, it is necessary to specify an assembly that will, after construction, provide the desired degree of speech privacy. Usually the only information available at this stage is transmission loss (TL) data of individual specimens, measured in the laboratory according to ASTM Test Method E 90.
Research has shown that the transmission loss data can be used to estimate the level difference between a uniform sound field on one side of a partition, and the received level at 0.25 m from the other side of the partition [3]. Therefore, SPC can be estimated at the design stage. Designers should be aware that the performance of partitions in buildings is almost always degraded by flanking transmission (that is, sound transmission via paths other than directly through the nominally separating partition), and that laboratory performance is usually not realized in the field.
Measurements for a range of walls and with a wide range of acoustical absorption in the rooms on either side of the walls have demonstrated that for a uniform field incident on one side of a wall, the received level at 0.25 m on the other side can be estimated from Equation # 18 below,

where, L0.25(avg) is the received level at 0.25 m from the wall, Ls(avg) is the level of the uniform field on the source side of the wall, TL(avg) is the transmission loss of the wall, and (avg) means the arithmetic average over all 16 bands from 160 to 5000 Hz. Equation # 18 is correct within ± 0.5 dB for most rooms with reverberation times less than about 1.2 s, and can be rewritten to predict the required level difference as follows in Equation # 19 below,

where LD(avg) = Ls(avg) - L0.25(avg).
Equation #19 can be used to predict the SPC from transmission loss data follows using Equation #20 below,

Which allows designers to estimate the degree of speech privacy from published laboratory TL data, and an assumption or knowledge of the background noise Ln(avg) in the listening space. The descriptions in Table 13 can be used to set criteria for SPC.
At the design stage it is difficult to accurately estimate background noise levels at each potential listener position. In addition, background noise levels typically vary over time and require measurements over long time periods to accurately characterize conditions. As a result, it is often necessary to estimate realistic lowest likely background noise levels for designs. These values were obtained from measurements of the statistical variations of background noise levels near government meeting rooms. During the daytime (8:00 to 17:00) background noise levels were only less than 35 dBA about 1% of the time. Therefore, for the daytime period, 35 dBA or Ln(avg) = 24 dB* would be a safe lowest likely background noise level to use in a worst case design calculation in the absence of measured background noise level values. When rooms are used outside of daytime hours, one can similarly use, 30 dBA or Ln(avg) = 19 dB for a suitable lowest likely ambient level for evenings (17:00 to 24:00) and 25 dBA or Ln(avg) = 14 dB for night time hours (24:00 to 6:00).
(*The conversion from dBA to dB(avg) assumes a typical -5 dB/octave spectrum shape for background noise levels).
Closed Room Levels
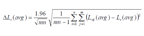
If the fixed microphone method was used, calculate the 95% confidence interval for the source room average according to the following.
a) For each measurement of source room levels at microphone position j for source position i, calculate the average over frequency Lsij(avg) as per equation #21,

b) Calculate the 95% confidence interval for Ls(avg) according to equation #22,

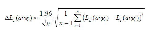
If the integrating microphone method was used, determine an approximate estimate of the 95% confidence interval for the source room average according to the following.
a) For each measurement of source room level for source position i, calculate the average over frequency Lsi(avg) equation #23,

b) Estimate the 95% confidence interval for Ls(avg) according to equation #24,

This is equivalent to assuming a large number of receiver positions were used.
Received Levels
For each receiving point, calculate the frequency averaged received level Lri(avg) for source position i according to equation #25,

Calculate the 95% confidence interval for Lr(avg) according to equation #26,

Level Differences
For each receiving point, calculate the 95% confidence interval for LD(avg) using equation #27,

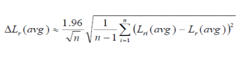
Background Noise Levels
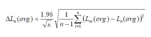
For each receiving point, calculate the frequency averaged background level Lni(avg) for source position i according to equation #28,

Calculate the 95% confidence interval for Ln(avg) according to equation #29

SPC
For each receiving point, calculate the 95% confidence interval for SPC using equation #30

- Date modified: